|
|
|
The Legendre Functions of the First Kind are solutions to the
Legendre Differential Equation. If
is an Integer, they are Polynomials. They
are a special case of the Ultraspherical Functions with
. The Legendre
polynomials
are illustrated above for
and
, 2, ..., 5.
The Rodrigues Formula provides the Generating Function
| (1) |
![]() |
(2) |
![]() |
(3) |
![]() |
(4) |
![]() |
(5) |
![]() |
(6) |
![]() |
(7) |
| (8) |
The Legendre polynomials are orthogonal over
with Weighting Function 1
and satisfy
| (9) |
A Complex Generating Function is
| (10) |
| (11) |
Additional integrals (Byerly 1959, p. 172) include
| (12) |
![]() |
(13) |
![]() |
(14) |
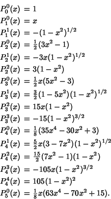
The first few Legendre polynomials are


The Legendre Polynomials can also be generated using Gram-Schmidt Orthonormalization in the
Open Interval
with the Weighting Function 1.
| (15) | |||
![]() |
|||
![]() |
(16) | ||
![]() |
|||
![]() |
(17) | ||
![]() |
|||
![]() |
|||
| (18) |
The ``shifted'' Legendre polynomials are a set of functions analogous to the Legendre polynomials, but defined on the
interval (0, 1). They obey the Orthogonality relationship
| (19) |

The associated Legendre polynomials
are solutions to the associated Legendre Differential Equation,
where
is a Positive Integer and
, ...,
. They can be given in terms of the unassociated polynomials by
![]() |
|||
![]() |
(20) |
| (21) |
Associated polynomials are sometimes called Ferrers' Functions
(Sansone 1991, p. 246). If
, they reduce to the unassociated Polynomials. The associated
Legendre functions are part of the Spherical Harmonics, which are the solution of
Laplace's Equation in Spherical Coordinates. They are Orthogonal over
with the Weighting Function 1
| (22) |
| (23) |
| (24) |
![]() |
|||
| (25) |
| (26) |
| (27) |
| (28) |
| (29) |
| (30) |


| (31) |
| (32) |
See also Condon-Shortley Phase, Conical Function, Gegenbauer Polynomial, Kings Problem, Laplace's Integral, Laplace-Mehler Integral, Super Catalan Number, Toroidal Function, Turán's Inequalities
References
Abramowitz, M. and Stegun, C. A. (Eds.). ``Legendre Functions'' and ``Orthogonal Polynomials.'' Ch. 22 in
Chs. 8 and 22 in Handbook of Mathematical Functions with Formulas,
Graphs, and Mathematical Tables, 9th printing. New York: Dover, pp. 331-339 and 771-802, 1972.
Arfken, G. ``Legendre Functions.'' Ch. 12 in
Mathematical Methods for Physicists, 3rd ed. Orlando, FL: Academic Press, pp. 637-711, 1985.
Binney, J. and Tremaine, S. ``Associated Legendre Functions.'' Appendix 5 in
Galactic Dynamics. Princeton, NJ: Princeton University Press, pp. 654-655, 1987.
Byerly, W. E. An Elementary Treatise on Fourier's Series, and Spherical, Cylindrical, and Ellipsoidal Harmonics,
with Applications to Problems in Mathematical Physics. New York: Dover, 1959.
Iyanaga, S. and Kawada, Y. (Eds.). ``Legendre Function'' and
``Associated Legendre Function.'' Appendix A, Tables 18.II and 18.III in Encyclopedic Dictionary of Mathematics.
Cambridge, MA: MIT Press, pp. 1462-1468, 1980.
Legendre, A. M. ``Sur l'attraction des Sphéroides.'' Mém. Math. et Phys. présentés à l'Ac. r. des. sc. par
divers savants 10, 1785.
Morse, P. M. and Feshbach, H. Methods of Theoretical Physics, Part I. New York: McGraw-Hill, pp. 593-597, 1953.
Press, W. H.; Flannery, B. P.; Teukolsky, S. A.; and Vetterling, W. T.
Numerical Recipes in FORTRAN: The Art of Scientific Computing, 2nd ed. Cambridge, England: Cambridge
University Press, p. 252, 1992.
Sansone, G. ``Expansions in Series of Legendre Polynomials and Spherical Harmonics.''
Ch. 3 in Orthogonal Functions, rev. English ed. New York: Dover, pp. 169-294, 1991.
Snow, C. Hypergeometric and Legendre Functions with Applications to Integral Equations of Potential Theory.
Washington, DC: U. S. Government Printing Office, 1952.
Spanier, J. and Oldham, K. B. ``The Legendre Polynomials
Szegö, G. Orthogonal Polynomials, 4th ed. Providence, RI: Amer. Math. Soc., 1975.
'' and ``The Legendre Functions
and
.'' Chs. 21 and 59 in An Atlas of Functions.
Washington, DC: Hemisphere, pp. 183-192 and 581-597, 1987.
|
|
|
© 1996-9 Eric W. Weisstein