info prev up next book cdrom email home

Elliptic Alpha Function

Elliptic alpha functions relate the complete Elliptic Integrals of the First $K(k_r)$ and Second Kinds $E(k_r)$ at Elliptic Integral Singular Values $k_r$ according to

$\displaystyle \alpha(r)$ $\textstyle =$ $\displaystyle {E'(k_r)\over K(k_r)}-{\pi\over 4[K(k_r)]^2}$ (1)
  $\textstyle =$ $\displaystyle {\pi\over 4[K(k_r)]^2}+\sqrt{r}-{E(k_r)\sqrt{r}\over K(k_r)}$ (2)
  $\textstyle =$ $\displaystyle {\pi^{-1}-4\sqrt{r}\,q{d\vartheta_4(q)\over dq}{1\over\vartheta_4(q)}\over {\vartheta_3}^4(q)},$ (3)

where $\vartheta_3(q)$ is a Theta Function and
$\displaystyle k_r$ $\textstyle =$ $\displaystyle \lambda^*(r)$ (4)
$\displaystyle q$ $\textstyle =$ $\displaystyle e^{-\pi\sqrt{r}},$ (5)

and $\lambda^*(r)$ is the Elliptic Lambda Function. The elliptic alpha function is related to the Elliptic Delta Function by
\begin{displaymath}
\alpha(r)={\textstyle{1\over 2}}[\sqrt{r}-\delta(r)].
\end{displaymath} (6)

It satisfies
\begin{displaymath}
\alpha(4r)=(1+k_r)^2\alpha(r)-2\sqrt{r}\,k_r,
\end{displaymath} (7)

and has the limit
\begin{displaymath}
\lim_{r\to\infty}\left[{\alpha(r)-{1\over\pi}}\right]\approx 8\left({\sqrt{r}-{1\over\pi}}\right)e^{-\pi\sqrt{r}}
\end{displaymath} (8)

(Borwein et al. 1989). A few specific values (Borwein and Borwein 1987, p. 172) are

\begin{eqnarray*}
\alpha(1)&=&{\textstyle{1\over 2}}\\
\alpha(2)&=&\sqrt{2}-1...
...]\\
\alpha(27)&=&3[{\textstyle{1\over 2}}(\sqrt{3}+1)-2^{1/3}]
\end{eqnarray*}



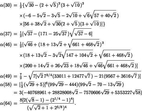
\begin{eqnarray*}
\alpha(30)&=&{\textstyle{1\over 2}}\{\sqrt{30} - (2 + \sqrt{5...
...(\sqrt{8}-1)-(2^{1/4}-1)^4]\over (\sqrt{\sqrt{2}+1}+2^{5/8})^4}.
\end{eqnarray*}



J. Borwein has written an Algorithm which uses lattice basis reduction to provide algebraic values for $\alpha(n)$.

See also Elliptic Integral of the First Kind, Elliptic Integral of the Second Kind, Elliptic Integral Singular Value, Elliptic Lambda Function


References

Borwein, J. M. and Borwein, P. B. Pi & the AGM: A Study in Analytic Number Theory and Computational Complexity. New York: Wiley, 1987.

Borwein, J. M.; Borwein, P. B.; and Bailey, D. H. ``Ramanujan, Modular Equations, and Approximations to Pi, or How to Compute One Billion Digits of Pi.'' Amer. Math. Monthly 96, 201-219, 1989.

mathematica.gif Weisstein, E. W. ``Elliptic Singular Values.'' Mathematica notebook EllipticSingular.m.



info prev up next book cdrom email home

© 1996-9 Eric W. Weisstein
1999-05-25