§2  Basic calculations in analytic geometry

 

graphics 

Calculation formula     

[ distance between two points ]

 

 

on flat surface

in space

 

[ The dividing line segment is the dividing point coordinates of the fixed ratio ]

          ( a )

          ( b )

  M ( x , y , z ) is the division point of A 1 A 2 , the division ratio      

on flat surface 

 

 

 

 

in space 

λ > 0 is called inner division and outer division . When λ = 1 , M is the midpoint of A 1 A 2 :

      , ,

 

 

 

 

 

 

 

 

 

 

 

 

 

 

 

 

 

 

 

 

       graphics 

                Calculation formula     

[ Area of ​​a triangle on a plane ]

  A 1 , A 2 , A 3 form a counterclockwise loop

    S =

    When S =0 , the three points of A 1 , A 2 , and A 3 are collinear

[ Area of ​​a polygon on a plane ]

A 1 , A 2 , , An form a counterclockwise loop

 

 

S =

When S = 0 , A 1 , A 2 , , A n n points are collinear

 

[ volume of a tetrahedron in space ]

  right -handed system

 

V = =

When V = 0 , the four points M , A 1 , A 2 , and A 3 are coplanar

 

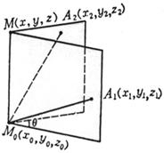
[ Angle of the dihedral ]

 

  M 0 , M 1 , A 1 , A 2 are four non-coplanar points in space, q is the dihedral angle A 1 - M 0 M 1 - A 2 (0 q180 ° )

 

 

 

 

 

When M 0 is the origin, the positive direction of the x -axis, and the positive direction of the y -axis, then

When M 0 is the origin and the positive direction of the x -axis, then

 

 

       graphics 

                Calculation formula     

[ Barycentric coordinates of mass point system ]

The mass of each particle in space is m i , and the coordinates are ( x i , y i , z i ) i =1, 2, , n

The coordinates of the center of gravity G are

where represents the sum of i from 1 to n

 

Original text